濕分擴散率或稱濕分擴散系數介紹
信息來源: | 發布日期:
2015-08-07
| 瀏覽量:
關鍵詞:濕分擴散率或稱濕分擴散系數介紹。干燥設備
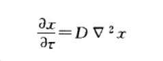
濕分擴散率或稱濕分擴散系數介紹。在干燥設備干燥期間,物料中的濕分擴散是一個非常復雜的過程,它包含了分子的擴散、毛細管流、Knudsen(努森)流、吸水動力學流以及表面擴散。如果把這些所有的現象結合起來的話,就是非穩態Fick第二定律定義的有效擴散率:

其中D為有效擴散率(有效擴散系數),m2/s;x是物料的干基濕含量.kg/kg;r為時間,s。
此方程表示物料濕分分布隨時間的變化,它描述了濕分在物料內部的遷移。此方程可用于干燥的控制機理為濕分擴散控制的情況。
試驗的測量方法講解:試驗的測定擴散系數的方法是沒有標準的,一般的方法有以下3種。
(1)吸附動力學法:也就是把物料的試樣放在受控制的環境中,在接近吸附平衡的過程中,不斷的稱量出試樣的重量。
(2)滲透法:此方法比較適和用在膜材料。需要在一定的表面濃度環境下測量出通過已經知道厚度的膜的時候的擴散劑的滲透速率,接著在用Fick定律分析它的擴散率。
(3)濃度-距離曲線:這種方法是測量擴散劑的濃度的分布情況的,它隨著時間的變化而變化,這種方法可以用在不同方法測定濃度的情況中。
轉載請注明出處(濕分擴散率或稱濕分擴散系數介紹:/companynews/422)
上一條:干燥設備中的冷阱以及制冷系統
下一條:離心干燥設備工作原理
相關文章
- 2025-09-09 > 常州榮發干燥生產的閃蒸干燥整套生產線發貨外蒙古!
- 2025-05-20 > 常州榮發干燥木薯砂項目設備生產完畢準備發貨!
- 2025-04-07 > 常州榮發干燥越南項目-豌豆蛋白纖維渣干燥機發貨視頻!
- 2025-01-06 > 常州榮發干燥木薯貓砂烘干項目發貨現場!
- 2024-12-30 > 常州榮發干燥在江蘇環保項目順利完成作業!
- 2024-11-29 > 常州榮發干燥山東豆纖維烘干項目完成交貨!
- 2024-11-22 > 榮發干燥江蘇項目木薯貓砂專用烘干機發貨現場!
- 2024-10-29 > 分子篩烘干項目發貨現場!
- 2024-08-19 > 常州榮發干燥在徐州項目順利完成作業!
- 2024-08-01 > 榮發干燥在河北豆渣項目調試結束
相關產品



